【Boost3】Boost电路的CCM模式与DCM模式
【Boost1】Boost电源原理及工作过程详解
【Boost2】Boost电路的电感选型
Boost升压电路,可以工作在电流断续工作模式(DCM)和电流连续工作模式(CCM)。CCM工作模式适合大功率输出电路,电感电流需保持连续状态,因此,按CCM工作模式来进行特性分析。不管哪种拓扑,其CCM和DCM的定义,是一样的。
根据变换器稳定状态下每个开关周期起始 (结束) 时电感电流的实际值判断变换器的工作模式:
稳定状态下若每个周期中电流都回到零,则为断续导电模式 (DCM);
若电流回到大于0的值,则称为连续导电模式 (CCM);
若恰好在周期结束时回到零,则称为临界连续模式 (BCM),当变换器工作于 BCM 时,可自由选择 DCM 或CCM 方程。
我们根据前文分析,可以知道,电感上的平均电流其实是由负载决定的,因为输出电压一定,负载的等效电阻越小,则电感上流经的平均电流IL(avg)就越大;电感上的纹波电流在输入输出电压确定的情况下,跟电感的感值有关。当平均电流足够大的时候,电感的电流处于一个稳态,持续以纹波的形式围绕平均电流变化。当负载变化时,电流变化,这时体现到就是电感的平均电流变化,图6.16中,波形上下整体移动,电路纹波大小的幅度不会变化。

图6.15 电感感值变小导致纹波电流变大曲线
在电路正常工作过程中,如果电感电流的最小值大于0A,也就是电感处于一个持续输出电流的稳态,只不过有一个纹波的规律性波动,则此时就是一个CCM模式,如图6.15所示,为保证电流连续,电感电流应满足:
如图6.16所示,CCM我们分成两个阶段分析,开关导通和开关关闭。

图6.16 CCM模式下Boost电路的两个状态
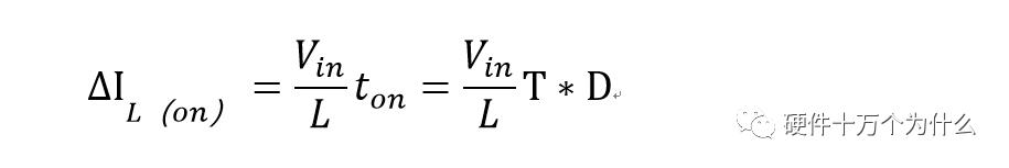
当开关管S为导通状态,二极管D处于截止状态,流经电感L和开关管的电流逐渐增大,电感L两端的电压为Vin,考虑到MOSFET的S极对公共端的导通压降Vs,即为Vi-Vs。ton时,通过L的电流增加部分ILon。升压变换器 CCM/DCM 边界条件 boost 在 CCM/DCM 的边界情况,是指开关截止期间电感电流从最大值正好减小到零,电流值一旦为零下一个开关周期便开始了。此时电感电流平均值可表示为:

开关管导通时的压降Rds(on)和线路上其他电阻或者走线的的压降,我们可以忽略不计。
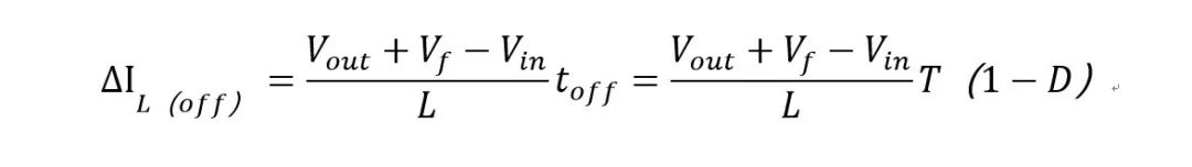
当开关管截止,二极管D处于导通状态,储存在电感L中的能量提供给输出,流经电感L和二极管D的电流处于减少状态,设二极管D的正向电压为Vf,开关管截止时,电感L两端的电压为Vout+Vf-Vin,电流的减少部分ILoff满足下式。

Vf为整流二极管正向压降,快恢复二极管约0.8V,肖特基二极管约0.5V。在电路稳定状态下,即从电流连续后到最大输出时。

2. BCM
跟Buck电路一样,BCM是一种临界态,相当于电感正好出现0A的情况。BCM就是CCM-DCM临界模式。本质BCM更像CCM的一种特殊情况,波形也是跟CCM一样是一个稳态,如图6.17。

3. DCM
在开关关闭之后,电感处于一个释放能量的装填。电感的电流在继续放电的过程中,一旦到达0A之后,没有能量继续释放,会保持0A,此时输出电流就依赖输出电容进行维持,此时电感的电流如图6.18所示。

实际测试到的波形如图6.18中绿色曲线所示。

